|
Infinite Reverse Digit Multiples |
|
|
|
Lights will guide you home |
|
And ignite your bones |
|
And I will try to fix you. |
|
Coldplay |
|
|
|
In previous notes here and here we discussed numbers that are whole multiples of their digit reversals, such as 4*2178 = 8712 in the base 10. We considered finite strings of digits, and described how the set of solutions can be depicted in the form of a single directed graph beginning from the null “0 0” initial carry state, as had been discussed by Young and Sloane. Interestingly, it’s possible to extend this concept to infinite strings of digits (in a sense to be discussed), related to other graphs in the same space, but not connected to the null graph. |
|
|
|
To illustrate, consider the case with the base B=22 and the multiple k=7. As discussed in the previous notes, merely by determining the integer solutions of the matched pairs of relations for the digits, working recursively from the outer pairs inward, we can determine the graph that describes how to construct all possible finite solutions. This graph for the case B=22,k=7 is shown below. |
|
|
|
|
|
|
|
The numbers in the state symbols are the carry pair vectors, with the lesser significant carry on top. The numbers next to the transition arrows are the digit pairs, with the less significant (of the smaller number to be multiplied by k) listed first. Beginning from the [0,0] carry state, a finite solution is given by stopping at either a “double state” such as [6,6] or else at a state with transposed values of the previous state, such as reaching [1,4] from [4,1]. For example, we can form solutions with the pairs (16,2), (13,8), and (19,5), giving the result 2 8 5 19 13 16. |
|
|
|
Note that this diagram involves only six carry states, whereas the possible carries range from 0 to k-1, so there are actually k2 = 49 possible carry states in this space. Applying the same recursive relations to the other carry states, we find two clusters of 14 states each, one of which is shown below. |
|
|
|
|
|
|
|
The other cluster has the same form, except all the carry states are transposed (e.g., state [4,0] becomes state [0,4], etc.), the directions of the transition arrows are all reversed, and the digits on each transition are transposed. This graph doesn’t contain any repeated carry states, nor any transposed states, so it doesn’t have either a finite starting state or a finite ending state. However, it does contain some complete loops, such as [1,0] to [1,3] to [4,3] and back to [1,0]. The transition digits around this loop give (in base 22) the number 0 11 10 4 14 3, which has the reversal 3 14 4 10 11 0. The ratio of these numbers is not exactly 7, it is |
|
|
|
|
|
|
|
It’s useful to note that for any N-digit number d0 + d1B1 + d2B2 + … + dN-1BN-1 we can divide both the numerator and denominator by BN-1 to write the ratio of the reversed number as |
|
|
|
|
|
|
|
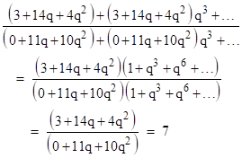
where q = 1/B. So, for the current example, we have |
|
|
|
|
|
|
|
where q = 1/22. Writing the ratio in this form makes it clear that the numerator and denominator are convergent series (since the coefficients are strictly limited to smaller than B), and the ratio depends mainly on the leading and trailing digits. Since we have no valid starting or ending state, suppose we just continue to circle the loop indefinitely. That gives the ratio |
|
|
|
|
|
|
|
This is the exact limit of the ratio of the reversal to the number as we continue to circle the loop. The number s of digits increases (by 3 in this case) each time we circle the loop, and to place the ratio in this form we are dividing by Bs-1, but this is always well-defined, even as s increases to arbitrarily large numbers of digits. For both the numerator and denominator we are pushing the “other half” of the digits further and further out, so their effect on the ratio becomes arbitrarily small, and disappears in the limit. This is why, in the limit of infinitely many digits, the numerator involves only the digits in one half of the number, and the denominator only involves the digits in the other half. |
|
|
|
In this example we began circling the loop from the [3 0] state, which has a zero as the most significant carry. Whenever we begin in such a state, the result is given purely as the ratio of the opposite ends of the strings. For example, beginning from the state [4 0] and considering the entire outer loop of the graph depicted above, we have the digit pairs (9,1), (10,7), (5,16), (14,11), (20,12), (0,6), (4,6), (9,20), and (13,5), and circling this loop repeatedly we arrive at the exact limiting ratio |
|
|
|
|
|
|
|
The states [1 0] and [4 0] are the only ones with 0 for the most significant carry in the graph shown above, but in the complementary graph, where all directions are reversed and pairs are transposed, we have states [2 0] and [5 0], so they furnish other examples of these simple loops. |
|
|
|
One would think that it ought to be possible to begin looping at any state of the loop, and indeed it is possible, but when beginning from a state [a b] we need to account for the most significant carry “b”. To accomplish this, we enclose the entire looped number with an initialization pair, (km+b, m) where m is any integer yielding valid digits. To illustrate, we return to our 3-state example, and instead of beginning at [1 0] we begin at [1 3], so we have b=3. This means we enclose our number with any initialization pair of the form (7m+3, m). Choosing m=1, we can use the initialization pair (10, 1), and we get |
|
|
|
|
|
|
|
For another example, consider the loop from [3 2] to [3 5] and [6 5] and back to [3 2] in the graph diagram shown above. None of these states has zero for the most significant carry, but starting from state [3 2], which has b=2, we can enclose them in digits (7m+2, m). Taking m=1 we have the enclosing pair (9,1), and hence the ratio of the infinite reverse digit numbers is |
|
|
|
|
|
|
|
Again, this is the limiting reverse-digit ratio for the base 22 number with the digits |
|
|
|
|
|
|
|
as the number of cycles around the loop increases. On one level this might appear to reduce these examples to trivialities, since we could just as well consider the number 1 0 0 …. 0 0 7. The limit of infinite length essentially sends the opposite ends of the number to insignificance, so the ratio approaches 7/1, neglecting the opposite ends. But this trivial example doesn’t satisfy the strict requirements relating the pair-wise digits at opposite ends of the string, though they be infinitely far apart. In a sense, the strings in the numerator and denominator are transforms of each other. This shows that the essential structure is actually these relations between the pairs of opposite numbers, that can be carried on indefinitely, and this happens to support complete reversibility for finite strings. |
|
|